Automatický výpočet spolupôsobiacej šírky
Pri návrhu nosníkov je veľmi kľúčovým okamihom voľba správneho modelu. Jedným z dôležitých faktorov je výpočet spolupôsobiacej šírky T-prierezu a tá závisí od rozmerov dosky a nosníka, typu zaťaženia, rozpätia, spôsobu podopretia a priečnom vystužení.
V SCIA Engineer prebieha výpočet spolupôsobiacej šírky automaticky podľa EN 1992-1-1, čl. 5.3.2.1:

beff = ∑beff,i + bw < b
kde: beff,i = 0,2 bi + 0,1l0 < 0,2 l0 and beff,i ≤ bi
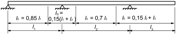
l0 je efektívna dĺžka rozpätia alebo vzdialenosť od miesta nulového momentu v uvažovanom poli:

Všetky vyššie spomenuté faktory možno v SCIA Engineer upraviť v nastaveniach riešiča.

Pre určenie kontaktnej šírky medzi rebrom a doskou sa použije poloha nosníka:

-
Spodná - uvažuje sa horný povrch nosníka.
- Stredná - kontaktná šírka sa uvažuje nulová. Všimnite si, že v tomto prípade neplatia vzorce z Eurokódu, pretože výsledný prierez nemožno považovať za prierez tvaru T.
- Horná - uvažuje sa spodný povrch nosník.
Pre použitie automatického výpočtu spolupôsobiacej šírky v SCIA Engineer je nutné splniť nasledujúce podmienky:
- 1D prvok musí byť typu: Rebro.
- Zarovnanie nosníka musí byť horné alebo dolné.
- Tvar rebra musí byť nastavený na Automaticky.
- Tiež je potrebné zaškrtnúť voľbu Automatický výpočet pre posudky. Potom sa použijú hodnoty z EN 1992. V opačnom prípade musí užívateľ zadať šírku pre posudky sám.

Pamätajte, že dĺžka rozpätia nemusí nutne zodpovedať dĺžke 1D prvku. Na to je potrebné pamätať, ak má byť použitý automatický výpočet spolupôsobiacej šírky. Napríklad, na obrázku vidíte, že dve polia sú modelované ako 1 priamy nosník:

Pre správny výpočet spolupôsobiacej šírky je potrebné nosník rozdeliť na dva nosníky:

To isté platí pre prípad, kedy je na každom konci nosníka iná šírka - viď príklad:

V tom prípade je nutné nosník rozdeliť na dva, aby výpočet spolupôsobiacej šírky prebehol správne:
